KAWASHIN お知らせ 公立高校入試 勉強法 受験 学習塾 野上					
									
					【解説あり】令和6年度山口県公立高校入試(数学)を塾長”のがみ”が徹底分析&解説
					
					
					
						
								
																																		
							
								
大問5 確率
【難易度★★★☆☆】配点6点(2点+4点)
こちらも予想が的中。サイコロ問題が出題!
うまく問題内容を読み取って「Rさんは正しくない!」の答えにたどり着こう。
.jpg)
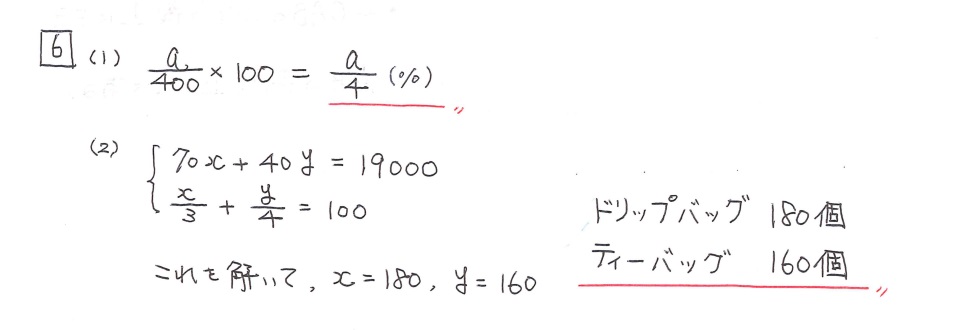
大問6 文字式+連立方程式
【難易度★★★☆☆】配点6点(2点+4点)
連立方程式が出題。式+答え(完答)の問題が4点と配点が高いです。
激ムズパターンではないので、うまく正解を取り切りたいところです。
.jpg)
大問7 相似の証明
【難易度★★★★☆】配点7点(4点+3点)
(1)は予想通り「合同」ではなく「相似」の証明からの出題でした。
正直「円周角の定理の逆」を使うパターンは予想外でした。円をイメージできたらGoodです!
(2)は図形特有の「気づくのが難しい」パターン。ここはできなくてもほとんど差がつかないところです。
1-1024x548.jpg)
2-1024x524.jpg)
大問8 小問集合(相対度数・関数・三平方の定理)
【難易度★★★☆☆】配点8点(3点+2点+3点)
(1)では頻出の「相対度数」が出題。相対度数を計算してうまく説明しましょう。
(3)は図形をどう分けるかがポイント。特別な直角三角形の三平方の定理を使うと解きやすいです。
-1024x898.jpg)
 
公式の配点・模範解答は次ページへ!
							 
						 
						次のページへ >
						
					
			
																			
					 
												
	 
													
													
								-KAWASHIN, お知らせ, 公立高校入試, 勉強法, 受験, 学習塾, 野上
								-予想, 二等分線, 令和6年, 作図, 公立入試, 受験, 合同, 合格発表, 垂線, 塾, 学力検査, 学習塾, 宇部市, 山口市, 山口県, 平均点, 数学, 春季, 春期, 相似, 解答, 解説, 証明, 連立方程式, 配点, 難易度, 高校入試